RHD Contractors, Midhurst, West Sussex
Please find insurance certificates below.
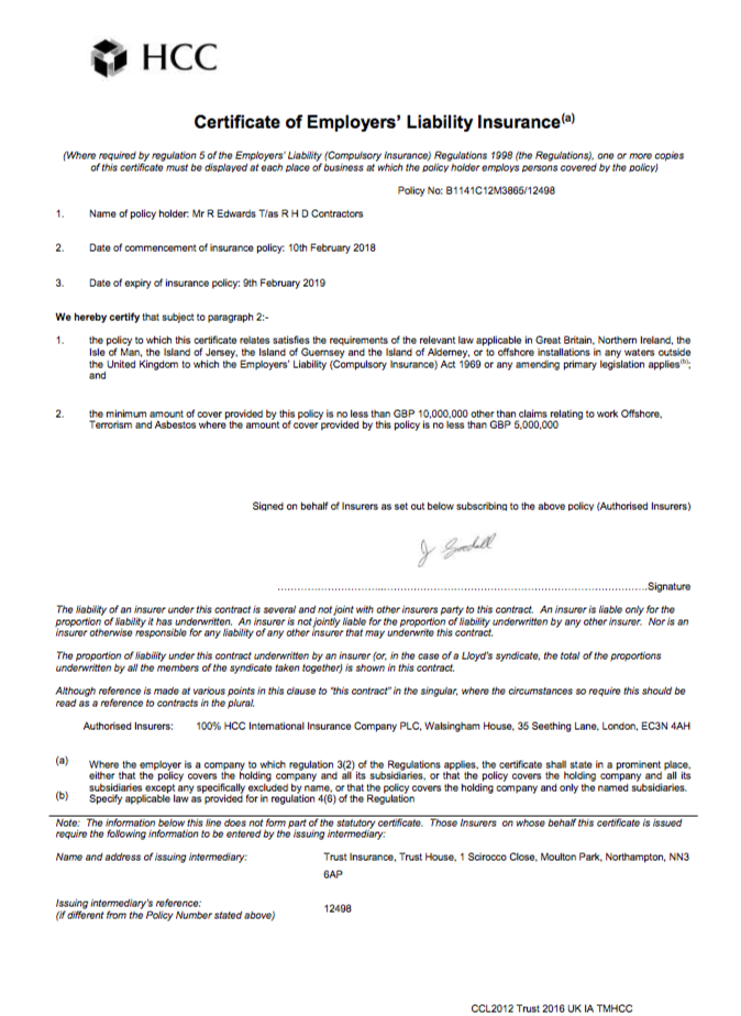
Download
Download
RHD Contractors, Midhurst, West Sussex
Home
Gardening
Landscaping
Patios and paving
Shed bases
Fencing
Groundworks
Timber retaining walls
Countryside maintenance
Field fencing
Specialist scrub removal
Land clearance
Digger hire
Vacancies
Contact us
Job Blog
Testimonials
Insurance